摘要:
本文利用花崗巖機制砂取代部分河砂配制混凝土,開展了抗壓、抗折、劈拉強度試驗,研究分析了花崗巖機制砂摻量對混凝土力學性能的影響規律。結果表明:隨著花崗巖機制砂摻加比例增加,混凝土力學性能均呈先增大后減小的趨勢,對于抗壓、抗折和劈拉強度而言,機制砂摻量分別為10wt%、10wt%和15wt%,這主要是由于石粉的填充效應以及機制砂與水泥漿體之間具有更大的粘結力。
關鍵字:花崗巖機制砂;摻量;力學性能;強度;石粉
1 引言
砂作為混凝土的必需原材料之一,用量占到混凝土總體積的30%左右,其質量對于新拌及硬化混凝土的性能有著重要影響。隨著天然砂資源的日趨匱乏及對環境保護的加強,機制砂逐漸成為我國混凝土用砂的主要來源,部分地區機制砂的應用比例已達50%。機制砂是巖石經機械破碎而成,機制砂區別于河砂的顯著特點是粒形尖銳、表面粗糙且含有一定數量的粒徑<75μm的石粉。眾多研究表明,以適當比例的機制砂取代河砂能夠提高混凝土力學性能,但在石粉摻量方面大家意見不一。因此,本文開展了不同花崗巖機制砂/河砂配比的混合砂混凝土的基本力學試驗,探究花崗巖機制砂取代比例對混凝土力學性能的影響,為機制砂在實際工程的應用提供參考。
2 原材料和試驗方法
2.1 原材料
①水泥:P·O42.5水泥,物理力學性能見表1。②粗集料:5.00mm~20.00mm連續級配花崗巖碎石,表觀密度2710千克每立方米,壓碎值8.0%。③細集料:花崗巖機制砂、天然河砂。兩者篩分、物理力學性能測定結果見圖1和表2。④外加劑:聚羧酸高性能減水劑,含固量18.3%,減水率28.4%。⑤配合比:本試驗用混凝土配合比如表3所示。
表1 水泥的物理性能

表2 機制砂與河砂的物理力學性能


圖1 機制砂、河砂顆粒級配曲線
表3 混凝土配合比(千克每立方米)

2.2 試驗
混凝土試件成型后,在溫度20±2℃,相對濕度95%以上的標準養護室中養護,達到規定齡期(7d、28d)后,按照GB/T50081-2002標準進行力學性能測試。硬化混凝土抗壓、抗折和劈拉強度測試使用試件尺寸分別為150mm×150mm×150mm、150mm×150mm×550mm和150mm×150mm×150mm。
3 結果與討論
3.1 抗壓強度
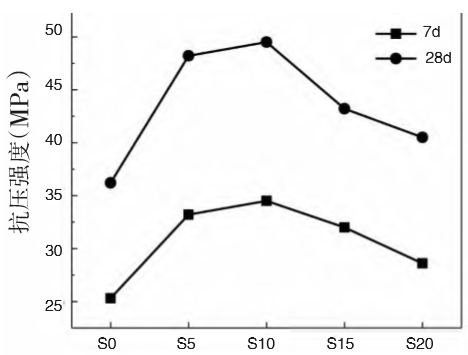
表4給出了各組混凝土力學性能試驗結果。花崗巖機制砂摻量對S0~S20組混凝土抗壓強度的影響如圖2所示。可以看出,S0組純河砂混凝土的28d齡期抗壓強度為36.2MPa,S5~S20組混凝土具有更高的28d齡期的抗壓強度,分別為48.2MPa、49.5MPa、43.2MPa和40.5MPa,相比S0分別提高了33.1%、36.7%、19.2%和11.9%。這說明,花崗巖機制砂摻量在20wt%以內時,隨著摻量的增加,抗壓強度先增大后減小,其中提高抗壓強度的摻量為10wt%,當摻量達到20wt%時,對抗壓強度的提高相對較小,但強度值依然大于純河砂S0組混凝土。
表4 混凝土力學性能試驗結果(MPa)


圖2 花崗巖機制砂摻量對混凝土抗壓強度的影響
3.2 抗折強度
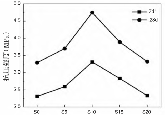
圖3給出了不同摻量花崗巖機制砂對S0~S20組混凝土抗折強度的影響。可以看出,S0組純河砂混凝土的28d齡期抗折強度為3.29MPa,S5~S20組混凝土具有更高的28d齡期抗折強度,分別為2.59MPa、3.31MPa、2.83MPa和2.33MPa,相比S0分別提高了12.4%、44.3%、18.2%和0.91%。這說明摻量在20wt%以內時,花崗巖機制砂對混凝土的抗折強度和抗壓強度具有相同的影響規律,即:隨著摻量的增加,抗折強度先增大后減小,提高抗折強度的摻量為10wt%,當摻量達到20wt%時,其抗折強度與S0組純河砂混凝土的抗折強度幾乎持平。
3.3 劈拉強度
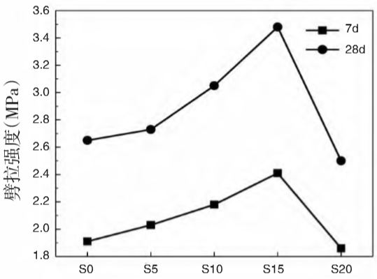
圖4給出了花崗巖機制砂在20wt%摻量內變化對試驗混凝土劈拉強度的影響。可以看出,S0組純河砂混凝土的28d齡期劈拉強度為2.65MPa,S5~S20組混凝土28d齡期劈拉強度分別為2.73MPa、3.05MPa、3.48MPa和2.50MPa,其中相比S0,S5~S15分別提高了3.02%、15.09%和30.1%,而S20降低了5.6%。這說明摻量在20wt%以內時,隨著花崗巖機制砂摻量增加,混凝土劈拉強度逐漸增加到值,然后迅速降低,這與抗壓、抗折強度試驗規律相同。而當混凝土取得劈拉強度值時,花崗巖機制砂摻量為15wt%,這與抗壓(10wt%)、抗折強度(10wt%)有所不同。另外,混凝土的劈拉強度在機制砂摻量為20%時明顯低于基準組S0,而抗壓、抗折強度相比S0組有微量增加。

圖3 花崗巖機制砂摻量對混凝土抗折強度的影響

圖4 花崗巖機制砂摻量對混凝土劈拉強度的影響
3.4 小結
花崗巖機制砂部分取代河砂增加了混凝土的抗壓強度,摻量為10wt%,此時混凝土的抗壓強度高于其他組混凝土,28d齡期抗壓強度相比基準組混凝土提高了36.7%。花崗巖機制砂對混凝土的抗折強度亦具有同樣的影響規律,當摻量為10wt%時,抗折強度提高率為44.3%。而對于劈拉強度來說,花崗巖機制砂摻量為15wt%,與抗壓、抗折強度的機制砂摻量(10wt%)不同。當機制砂摻量為15wt%和10wt%時,混凝土的劈拉強度相比基準組S0分別提高了30.1%和15.09%;摻量為20wt%時,混凝土的劈拉強度明顯低于基準組S0。可見,集料特性對混凝土力學性能具有重要影響。而且花崗巖機制砂是巖石經機械破碎而成,粒形尖銳、表面粗糙,與水泥漿體之間機械嚙合力大,粘結能力好于河砂,可以提高混凝土的力學性能,且機制砂中含有一定數量(5wt%~10wt%)粒徑小于75μm的石粉。適量的石粉在混凝土體系中可以填充集料之間的空隙,起到微集料填充效應,同時改善混凝土微觀結構,減少骨料—漿體界面過渡區有害裂縫,使水泥石更加密實,這些都有利于提高混凝土的強度。但是,當機制砂摻量過高時,會造成水泥漿體對集料的包裹不足而降低兩者的粘結性能,削弱骨料的骨架作用和降低水泥石強度,從而降低混凝土強度。
4 結語
①花崗巖機制砂有利于提高混凝土的力學性能,主要是由于石粉的填充作用以及機制砂粗糙形貌增大了與水泥石之間的嚙合力。對于抗壓、抗折強度而言的機制砂摻量為10wt%。
②對于劈拉強度而言,花崗巖機制砂摻量為15%,此時劈拉強度提高了30.1%;而摻量為20wt%時的劈拉強度低于純河砂混凝土,主要原因在于此時水泥漿體對集料的包裹不足。